Skip to content Skip to sidebar Skip to footer

Second Order Control System

Time Response Of Second Order Control System Worked Example Electrical4u

Time Response Of Second Order Control System Worked Example Electrical4u

Second order control system. Closed-loop transfer function and block diagram A block diagram of the second order closed-loop control system with unity negative feedback is shown below in Figure 1. Control Systems LABORATORY WORK LAB 04 Second Order System. Analyzing Simple Controllers for 2nd Order Systems-Cont.

Introduction to Second Order Systems Introduction As we discussed earlier we have two methods of analyzing the working and functioning of a control system named as. Consider the unit step signal as an input to the second order system. Faculty of Engineering Technology Electrical Engineering Department ELE 4623.

Processing system with a controller. Second Order Systems Second Order Equations 2 2 2 1 s s K G s τ ζτ Standard Form τ2 d 2 y dt2 2ζτ dy dt y Kft Corresponding Differential Equation K Gain τ Natural Period of Oscillation ζ Damping Factor zeta Note. View LAB 4docx from ELET 403 at Virginia State University.

A pneumatic valve 3. Transient response specification of second order system. 2151 Advanced System Dynamics and Control Review of First- and Second-Order System Response1 1 First-Order Linear System Transient Response The dynamics of many systems of interest to engineers may be represented by a simple model containing one independent energy storage element.

A second order system differential equation has an output yt y t input ut u t and four unknown parameters. Transient response of second order system with examples About Press Copyright Contact us Creators Advertise Developers Terms Privacy Policy Safety How YouTube works Test new features 2021. The objective of these exercises is to fit parameters to describe a second order underdamped system.

The response depends on whether it is an overdamped critically damped or underdamped second order system. The second-order system is the lowest-order system capable of an oscillatory response to a step input. First order system is often a good mathematical model to represent the behavior of many real-world systems.

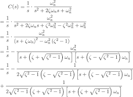
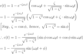
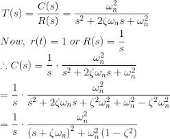
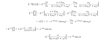
Laplace transform of the unit step signal is Rsfrac1s We know the transfer function of the second order closed loop control system is fracCsRsfracomega _n2s22deltaomega_nsomega_n2 Case 1. 187 in text Third Order System with Zero.

Response Of Second Order System

Response Of Second Order System

Second Order Systems In Process Control Youtube

Second Order Systems In Process Control Youtube

Control System Time Response Of Second Order System Javatpoint

Control System Time Response Of Second Order System Javatpoint

Graphically Fit Second Order Response Dynamics And Control

Graphically Fit Second Order Response Dynamics And Control

Peak Overshoot In Step Response Underdamped Case Of A Second Order Control System Electricalworkbook

Peak Overshoot In Step Response Underdamped Case Of A Second Order Control System Electricalworkbook

Second Order Control System Response To A Unitary Step As A Function Of Download Scientific Diagram

Second Order Control System Response To A Unitary Step As A Function Of Download Scientific Diagram

First Order Control System What Is It Rise Settling Time Formula Electrical4u

First Order Control System What Is It Rise Settling Time Formula Electrical4u

7 5 Example For The Design Of A Second Order Control System Modern Control System Theory And Design 2nd Edition Book

7 5 Example For The Design Of A Second Order Control System Modern Control System Theory And Design 2nd Edition Book

Control System Time Response Of Second Order System Javatpoint

Control System Time Response Of Second Order System Javatpoint

Time Response Of Second Order System Electronics Coach

Time Response Of Second Order System Electronics Coach

Second Order Systems Dynamics And Control

Second Order Systems Dynamics And Control

Time Response Of Second Order Control System Worked Example Electrical4u

Time Response Of Second Order Control System Worked Example Electrical4u

Control Systems Examples Second Order Systems Wikibooks Open Books For An Open World

Control Systems Examples Second Order Systems Wikibooks Open Books For An Open World

Second Order System S Velocity Feedback Gain Control Based On Pid Variable Damping Ratio Controller Semantic Scholar

Second Order System S Velocity Feedback Gain Control Based On Pid Variable Damping Ratio Controller Semantic Scholar

Chapter 5 Timedomain Analysis Of Control Systems 2

Chapter 5 Timedomain Analysis Of Control Systems 2

Time Domain Specifications

Time Domain Specifications

Peak Overshoot In Step Response Underdamped Case Of A Second Order Control System Electricalworkbook

Peak Overshoot In Step Response Underdamped Case Of A Second Order Control System Electricalworkbook

Second Order Systems 2 3 Tutorials Circuitbread

Second Order Systems 2 3 Tutorials Circuitbread

Control Systems Online Presentation

Control Systems Online Presentation

Transient Response Of Second Order Control System Youtube

Transient Response Of Second Order Control System Youtube

Introduction To Second Order Systems Electrical Equipment

Introduction To Second Order Systems Electrical Equipment

Parameter Representation Of A Second Order Control System In The Download Scientific Diagram

Parameter Representation Of A Second Order Control System In The Download Scientific Diagram

Solved A Second Order Control System Has The Closed Loop Chegg Com

Solved A Second Order Control System Has The Closed Loop Chegg Com

1

1

2nd Order Control System Pd Controller Physics Forums

2nd Order Control System Pd Controller Physics Forums

Introduction To Second Order Systems Electrical Equipment

Introduction To Second Order Systems Electrical Equipment

Solved For The Pi Control System Of A Second Order Plant Chegg Com

Solved For The Pi Control System Of A Second Order Plant Chegg Com

Time Response Of Second Order Control System Worked Example Electrical4u

Time Response Of Second Order Control System Worked Example Electrical4u

Control System Time Response Of Second Order System Javatpoint

Control System Time Response Of Second Order System Javatpoint

Second Order Control System Youtube

Second Order Control System Youtube

What Is An Example Of A Second Order Control System For A Real Application Quora

What Is An Example Of A Second Order Control System For A Real Application Quora

Second Order System And Its Control

Second Order System And Its Control

Help

Help

Transient Time Response Of A Second Order Underdamped System With 0 D Damping Ratio 1

Transient Time Response Of A Second Order Underdamped System With 0 D Damping Ratio 1

Control System Wikipedia

Control System Wikipedia

Feedback Control Systems Lecture 5 Dr Ing Erwin

Feedback Control Systems Lecture 5 Dr Ing Erwin

Nuaa Control System Engineering Ppt Video Online Download

Nuaa Control System Engineering Ppt Video Online Download

Second Order System S Velocity Feedback Gain Control Based On Pid Variable Damping Ratio Controller Semantic Scholar

Second Order System S Velocity Feedback Gain Control Based On Pid Variable Damping Ratio Controller Semantic Scholar

Electronic Control Theory Of Second Order Systems A Practical Analysis For Engineers Analog Devices

Electronic Control Theory Of Second Order Systems A Practical Analysis For Engineers Analog Devices

2

2

Solved Question 2 A Given A Second Order Control System Chegg Com

Solved Question 2 A Given A Second Order Control System Chegg Com

Second Order Control System Response To A Unitary Step As A Function Of Download Scientific Diagram

Second Order Control System Response To A Unitary Step As A Function Of Download Scientific Diagram

A Second Order Control System Has F Jw 100 100 W 10 2 Jw Find The Resonant Peak Electrical Engineering Mcq Ee Mcq

A Second Order Control System Has F Jw 100 100 W 10 2 Jw Find The Resonant Peak Electrical Engineering Mcq Ee Mcq

Control System Time Response Of Second Order System Javatpoint

Control System Time Response Of Second Order System Javatpoint

Step Response Plot Of Dynamic System Step Response Data Matlab Step

Step Response Plot Of Dynamic System Step Response Data Matlab Step

Explain The Effect Of An Increasing Damping Ratio To The Dynamic Response Of A Second A Homeworklib

Explain The Effect Of An Increasing Damping Ratio To The Dynamic Response Of A Second A Homeworklib

Modern Control Lec 03 Feedback Control Systems Performance And Ch

Modern Control Lec 03 Feedback Control Systems Performance And Ch

Time Response Of Second Order Control System Electrical4u No Response Control System System

Time Response Of Second Order Control System Electrical4u No Response Control System System

1

1

2nd Order Approximation The step response of higher order systems 3rd order or more with no zeros is frequently approximated by the response of the dominant 2nd order roots if all other rootshave a real part that is at least 5 to 10 times further away from the real axis see bottom of p.

187 in text Third Order System with Zero. Note that the gain of the. A second order system differential equation has an output yt y t input ut u t and four unknown parameters. Alternatively the above block diagram can be reduced to the typically used tachometer control system. A system whose input-output equation is a second order differential equation is called Second Order System. Closed-loop transfer function and block diagram A block diagram of the second order closed-loop control system with unity negative feedback is shown below in Figure 1. Transient response of second order system with examples About Press Copyright Contact us Creators Advertise Developers Terms Privacy Policy Safety How YouTube works Test new features 2021. Inherently second order processes. The order of a differential equation is the highest degree of derivative present in that equation.


Laplace transform of the unit step signal is Rsfrac1s We know the transfer function of the second order closed loop control system is fracCsRsfracomega _n2s22deltaomega_nsomega_n2 Case 1. The lateral position of the mass is denoted as x. Second Order Systems A Proportional Controller In this problem we will consider a controlled second order process. Transient response of second order system with examples About Press Copyright Contact us Creators Advertise Developers Terms Privacy Policy Safety How YouTube works Test new features 2021. A system whose input-output equation is a second order differential equation is called Second Order System. Order of the system can be determined from the transfer function of the system. A second-order linear system is a common description of many dynamic processes.

Post a Comment for "Second Order Control System"